Cricetodon meini Freudenthal, 1963
|
publication ID |
https://doi.org/10.5281/zenodo.17142595 |
|
DOI |
https://doi.org/10.5281/zenodo.17142626 |
|
persistent identifier |
https://treatment.plazi.org/id/527887EC-FF90-1D72-0F0C-FB8B9ACFF8F3 |
|
treatment provided by |
Felipe |
|
scientific name |
Cricetodon meini Freudenthal, 1963 |
| status |
|
Cricetodon meini Freudenthal, 1963
( Figs 38–48 View Figs 38–48 )
Description – M1 – The anteroconus consists of two equal size cuspulas (9 out of 11 specimens). These cuspulas are divided by a shallow groove on the mesial surface. The groove does not reach the base of the toothcrown. Anteroconus is undivided (2/11). Anterior cingulum is missing. The labial cuspula bears a labially curved anteroconus sporn (5/11). A relatively short anterolophulus connects the lingual anteroconus cuspula with the protoconus. Completely developed lingual quersporn II is developed between the anterolophulus and the antero-lingual margin (6/11). The lingual quersporn II is developed only as a conelet without any connection with the anterolophulus (4/11). Short paraconus posterior ectoloph (8/11). Protolophulus I is missing. Protolophulus II and metalophulus are posteriorly directed. Mesoloph, entomesoloph, posteroloph and posterosinus are not developed. Four roots.
M2 – The anteroloph has a weak lingual and a strong labial arm. The labial arm is developed as a labial anteroconus cuspula (4/11). The anteroloph arms are centrally connected to the anterior end of the anterolophulus. Paracone posterior spur is longer than in M1. Protolophus and metalophulus are posteriorly directed. Short mesoloph (4/11). Posteroloph and posterosinus are not developed. Four roots.
M3 – The lingual anteroloph arm is missing or incipient (3/8). In other cases it is normally developed but always weaker than the labial arm. Paracone posterior spur is long; it reaches the labial end of the mesoloph (3/8). In the specimen 2012.205. it reaches the anterior ectoloph of the metaconus. Mesoloph is short (1/8), middle developed (1/8) or long in any other cases. Protolophulus and metalophulus are transversally directed. Posteroloph and posterosinus are developed in 6/ 8 specimens but those are missing in the other cases. Three roots.
m1 – The anteroconid is in central position and in the juvenile unworn molars it is slightly less developed than the protoconid. Labial anterolophid arm is developed, reaches the antero-labial basis of the protoconid and closes a protosinusid. The anterosinusid is mostly open. It is closed only in the few cases where the metalophulid I is developed (2/15). The metalophulid II is short, transversally (6/15) or posteriorly (2/15) directed. In some molars metalophulid II is not developed (3/15). Sometimes the metaconid is isolated (2/15). In specimen 2013.28. the metalophulid is doubled. Short mesolophid (4/15). A low developed, long and thin ectomesolophid is visible in 7/15. Short ectomesolophid (2/15). Mesosinusid and posterosinusid are open, the labial sinusid is closed by a low developed cingulum. Hypolophulid I is short and antero-labially directed. Two roots.
m2 – Labial anterolophid arm is developed, reaches the antero-labial basis of the protoconid and closes a protosinusid. Lingual anterolophid arm is not developed. The short metalophulid I is antero-labially directed. A short mesolophid is constant, ectomesolophid is missing. Hypolophulid I is mostly antero-labially directed, but in some cases it is transversal (6/14). The lingual sinusid and the posterosinusid are open; the labial sinusid is closed by a less developed cingulum. Two antero-posteriorly flattened roots with a tendency for duplication.
m3 – Rounded posterior margin. The development of the lingual and labial anterolophid arms is identical to m2. Mesolophid is missing (4/14) or short (10/14). Metalophulid I is antero-labially directed. Hypolophulid I is anterolabially or transversally (2/14) directed. Two flattened roots with a tendency for duplication.
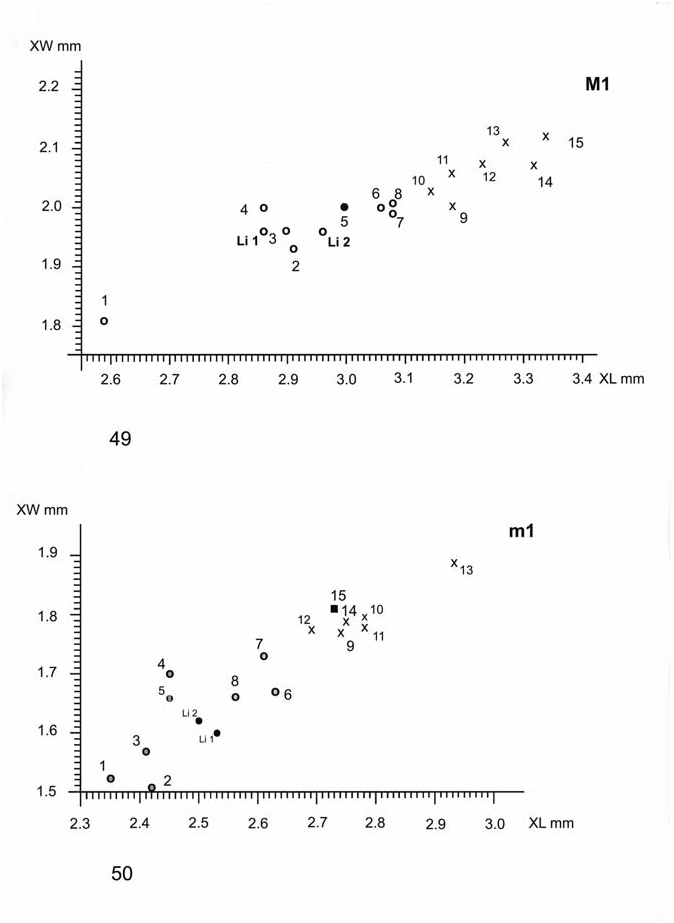
Comments – We can identify our Cricetodon material as C. meini because the mean dimensions are close to other C. meini populations ( Figs 49, 50 View Figs 49–50 ). In m1 the posterior metalophulid is the most frequent, but anterior metalophulid and double metalophulid is also found in the material.
With regards to the type population of Vieux Collonges there are some differences. The presence of the ectomesolophids in m1 is only 44%. This ridge is completely missing in m2 and m3. In M1 and M2 the mesolophs are short or missing. On the other hand these morphological characters are found in some C. meini populations. In Mühlbach ( DAXNER-HÖCK 2002) the mesoloph is short in the M1, short or medium length in M2. Sometimes there is a very short ectomesolophid in m1 and weak ectomesolophid is found in only one molar. In Antonios ( VASILEIADOU & KOUFOS 2005) the mesoloph is short or middle developed in M1. Frequency of ectomesolophid in m1 is 3/8. In m2-m3 ectomesolophid is missing. In Bele Vode ( MARKOVIĆ 2008) the mesoloph is short in M1; no mesolophid and ectomesolophid in m1 and m2.
In the identification of the Litke Cricetodon material the other possible alternative is the C. aff. aureus Rummel et Kälin, 2003 or C. aff. meini in sense of BOLLIGER (1994) from the populations of Gallenbach 2b, Rümikon and Sagentobel. However, there are some morphological differences: in Sagentobel the double metalophulid in m1 is missing ( BOLLIGER 1994), while in the material of Rümikon protolophulus I is found in M1 ( RUMMEL & KÄLIN 2003).
Up to the excavation of the Litke localities C. meini was not mentioned from Hungary.
No known copyright restrictions apply. See Agosti, D., Egloff, W., 2009. Taxonomic information exchange and copyright: the Plazi approach. BMC Research Notes 2009, 2:53 for further explanation.
|
Kingdom |
|
|
Phylum |
|
|
Class |
|
|
Order |
|
|
Family |
|
|
Genus |
