Dibothriocephalus spp.
|
publication ID |
https://doi.org/10.5324/fn.v41i0.3952 |
|
DOI |
https://doi.org/10.5281/zenodo.17047181 |
|
persistent identifier |
https://treatment.plazi.org/id/6C41360E-2560-FFBA-654F-FAC9E4A80452 |
|
treatment provided by |
Felipe |
|
scientific name |
Dibothriocephalus spp. |
| status |
|
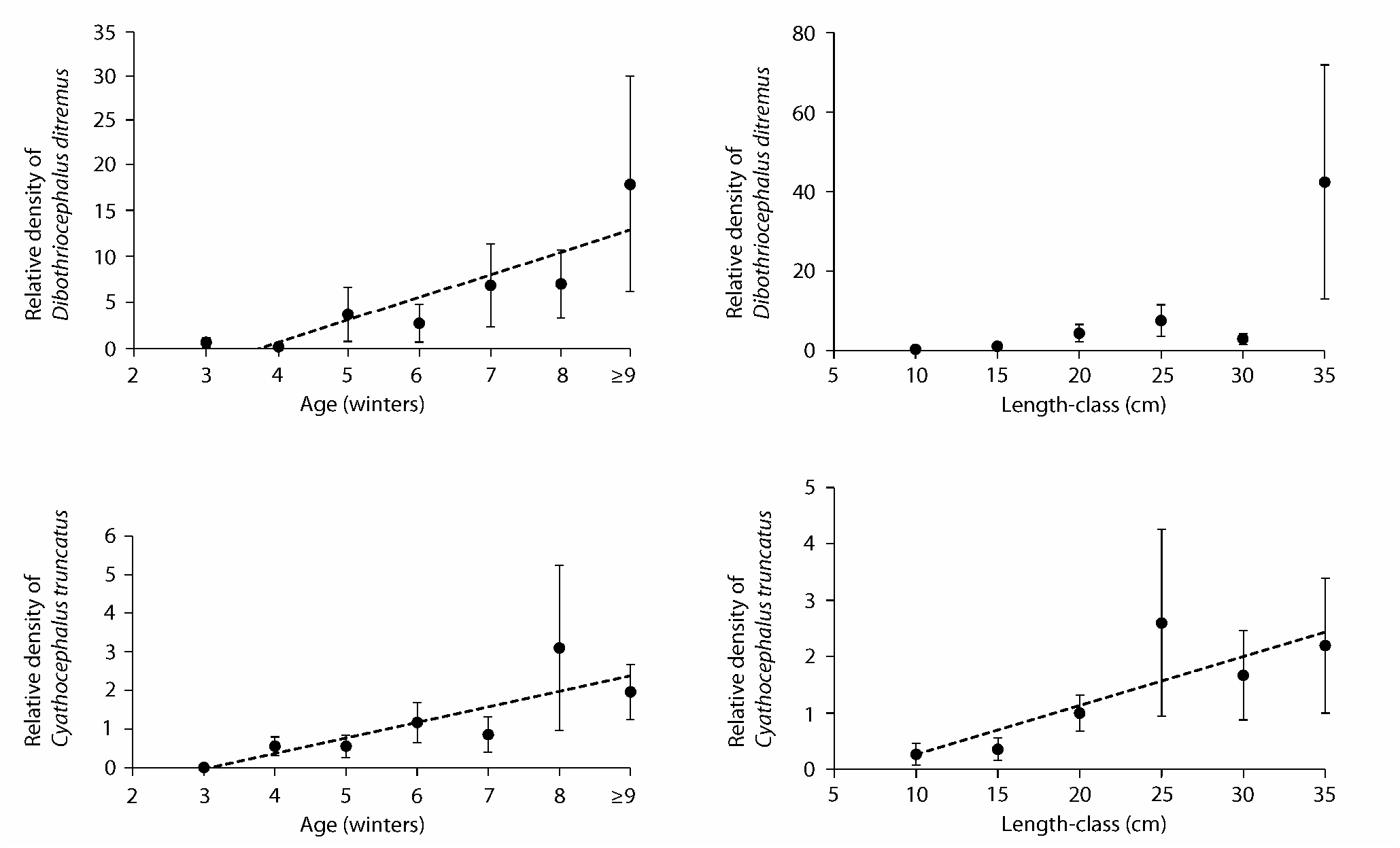
The prevalence of D. ditremus varied from a minimum of 22.2 % in age-class 5 to a maximum of 60.9 % in age-class 7–8 winters, and except for age-class 3–4, the mean and median infection intensities were relatively high in all age-classes ( Table 3 View Table 3 ). The highest numbers of larvae were found in two 15 winter-old fish, with respectively 89 and 297 plerocercoids. Despite the over-dispersion of larvae, the relative density increased significantly with age (linear regression: R 2 =0.76, df=6, F=16.02, p<0.05), while the linear regression between relative density and length-class was not significant (R 2 =0.52, df=5, F=4.40, p>0.05), due to the very much higher relative density in length-class 35–39.9 cm ( Figure 4 View Figure 4 ). A single specimen of D. dendriticus was identified as a new species in the lake ( Table 3 View Table 3 ).
No known copyright restrictions apply. See Agosti, D., Egloff, W., 2009. Taxonomic information exchange and copyright: the Plazi approach. BMC Research Notes 2009, 2:53 for further explanation.
|
Kingdom |
|
|
Phylum |
|
|
Class |
|
|
Order |
|
|
Family |
|
|
Genus |
